Project information

  • Keywords: Catalysis, AIMD, Exciplex
  • Project date: Ongoing
  • Preprint URL: TBD
  • Journal: TBD

Project Details

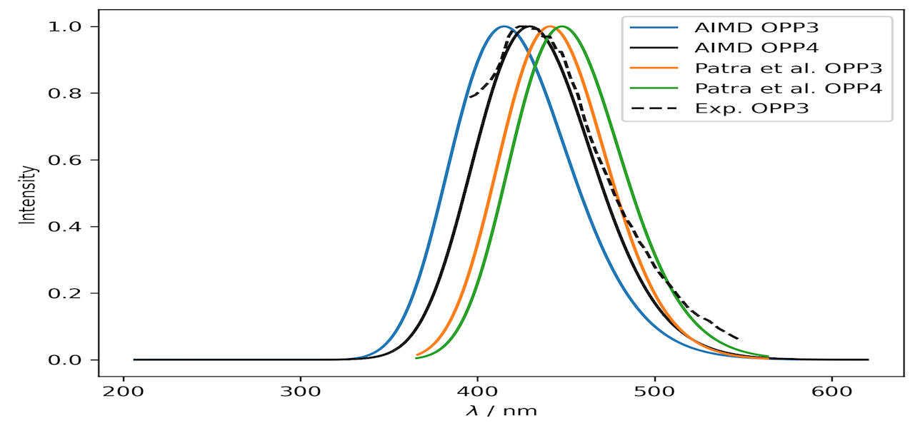
CO2, a primary greenhouse gas, prompts the need for innovative methods for removal or conversion to improve air quality. Photocatalytic reduction of CO2 using poly(p-phenylenes) like p-terphenyl (OPP3) holds promise, following a proposed mechanism by Wada and colleagues. OPP3, upon light absorption, transitions to an excited singlet state (OPP3*), quenched by triethylamine (TEA) to form a radical species with high reducing power for CO2. Detection of the OPP3/TEA exciplex through fluorescence emission is vital, and ongoing computational protocols aim to accurately reproduce and characterize the emission peak. This study performs conformational space sampling and computes the exciplex emission spectrum via excited state ab-initio molecular dynamics (AIMD) simulations of the OPP3-OPP4/TEA complex. Results align with experiments, validating previous computational data. AIMD trajectory analysis indicates that while OPP3 experiences multiple singlet-triplet crossing points during dynamics, intersystem crossing (ISC) is an inefficient decay channel for OPP3*.